有效针对外贸业务场景
立即查看 >
扫码添加微信,预约免费演示
数字化外贸综合营销决策平台
扫码添加微信,预约免费演示
数字化外贸综合营销决策平台
请完善以下信息,以便为您安排演示或样本
已自动分配售前顾问为您服务。请添加微信,更快获取项目案例和报价
为什么选凯发K8天生赢家一触即发
100000+客户信赖之选,为外贸企业降本增效
EN
顺利获得海关数据来分析2024年中国茶叶进出口详情,从出口额、出口量、茶类、进出口区域、贸易伙伴等方面进行解读和分析,可以帮助中国茶叶企业来做进出口参考。

茶叶进出口概况:
出口额:14.19亿美元,同比下降18.39%
出口量:37.41万吨,同比增长1.79%
进口额:1.57亿美元,同比增长7.53%
进口量:5.40万吨,同比增长38.34%
进出口茶类:
出口-绿茶出口额10.73亿美元,占比75.59%
进口-红茶进口额1.24亿美元,占比78.51%
产区情况:
出口省区市:浙江省位列第一,出口额4.72亿美元
进口省区市:福建省位列第一,进口额4253.91万美元
贸易伙伴指导:
出口目的地:摩洛哥是2024年中国最大出口贸易伙伴,出口额2.43亿美元
进口来源地:斯里兰卡是最大进口来源国,进口额5869.92万美元

★市场压力大,但需求尚存:出口总量37.41万吨,出口总额14.19亿美元
2024年中国内地茶叶出口额14.19亿美元,同比减少18.39%;出口量37.41万吨,同比增长1.79%;均价3.79美元/Kg,降幅19.83%。

★绿茶仍为出口主力:32.39万吨,占出口总额近三分之二
从出口量看,绿茶为中国内地最大的出口茶类,出口量32.39万吨,占86.57%;红茶为第二大出口品种,出口量2.48万吨,占6.62%,乌龙茶位居第三,出口量1.55万吨,占4.13%。从出口额看,绿茶出口额10.73亿美元,占茶叶出口总额的75.59%;红茶出口额1.72亿美元,占12.11%;乌龙茶出口额9934.26万美元,占7.00%;花茶出口额5723.73万美元,占4.03%。

★浙江省领跑2024年茶叶出口,出口额4.72亿美元
2024年茶叶出口额前5省区市依次为浙江省 、安徽省 、福建省 、湖南省 、湖北省,分别为4.72亿美元、2.49亿美元、1.81亿美元、1.38亿美元、1.20亿美元,合计占茶叶出口规模的81.70%。

★非洲市场崛起:摩洛哥成为主要出口目的地
2024年中国内地茶叶出口额前5贸易伙伴依次为摩洛哥 、加纳 、马来西亚 、毛里塔尼亚 、美国,分别为2.43亿美元、1.54亿美元、1.05亿美元、6595.38万美元、6139.46万美元,合计占出口规模的44.26%。出口量前5贸易伙伴依次为摩洛哥 、加纳 、乌兹别克斯坦 、俄罗斯 、毛里塔尼亚,分别为8.06万吨、3.86万吨、2.49万吨、1.68万吨、1.59万吨,合计占出口规模的40.48%。


★2024年茶叶进口量大增,进口价格大幅下降
2024年中国内地茶叶进口额1.57亿美元,同比增长7.53%;进口量5.40万吨,同比增长38.34%;均价2.92美元/Kg,降幅22.27%。

★红茶为进口主力:斯里兰卡和印度是最大供应国
从进口量看,红茶为中国内地最大的进口茶类,进口量4.19万吨,占77.63%;绿茶为第二大进口品种,进口量1.06万吨,占19.55%,乌龙茶位居第三,进口量1278.38吨,占2.37%。从进口额看,红茶进口额1.24亿美元,占茶叶进口总额的78.51%;绿茶进口额1648.12万美元,占10.47%;乌龙茶进口额1614.83万美元,占10.26%;花茶进口额97.54万美元,占0.62%。

★福建、上海、浙江等地进口较多
2024年茶叶进口额前5省区市依次为福建省 、上海市 、浙江省 、广东省 、北京市,分别为4253.91万美元、3101.85万美元、2284.24万美元、1996.31万美元、1049.37万美元,合计占茶叶进口规模的80.57%。

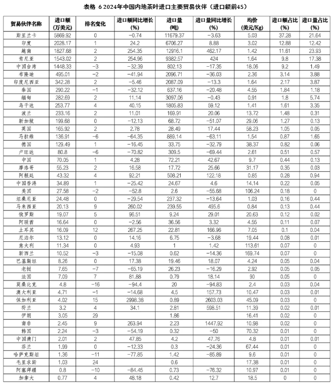
★斯里兰卡成为最大茶叶进口国:进口额5869.92万美元
2024年中国内地茶叶进口额前5贸易伙伴依次为斯里兰卡 、印度 、越南 、肯尼亚 、中国台湾,分别为5869.92万美元、2028.17万美元、1827.68万美元、1543.02万美元、1448.33万美元,合计占进口规模的80.77%。进口量前5贸易伙伴依次为越南 、斯里兰卡 、肯尼亚 、印度 、缅甸,分别为1.29万吨、1.17万吨、9382.57吨、6706.27吨、3097.06吨,合计占进口规模的76.86%。


